Can't use this link. Check that your link starts with 'http://' or 'https://' to try again.
Unable to process this search. Please try a different image or keywords.
Try Visual Search
Search, identify objects and text, translate, or solve problems using an image
Drag one or more images here,
upload an image
or
open camera
The photos you provided may be used to improve Bing image processing services.
Privacy Policy
|
Terms of Use
Drop image anywhere to start your search
To use Visual Search, enable the camera in this browser
All
Search
Images
Inspiration
Create
Collections
Videos
Maps
News
More
Shopping
Flights
Travel
Notebook
Top suggestions for Neural Process
Ann Neural
Network
Neural
Network Cell
Neural
Engine
Neural
Processing Unit
Neural
Activity
Deep Neural
Network
Neuron in
Neural Network
Neural Process
Pathway
Embryonic Neural
Tube
Long Process
in Neural Cell
Neural
Structure
Neural
Point Process
Neural Process
Flowchart
Neural
Stem Cells
Neural Process
Network Diagram
Diffusion
Neural Process
Neural
Network Types
Neurulation
Process
Neural
Network Algorithm
Neural Process
Pathway Model
Brain Neural
Pathways
Neural
Plate Formation
Human Neural
System
Neural
Conduction
Biological Neural
Network
Neural
Foramen
Artificial Neural
Network Model
Learning Process in Neural
Network Diagram
Neurological
Process
Neural
Crest Cell Migration
Synaptic Transmission
Process
Neural
Arch
Neuron Synapse
Animation
Neuron Communication
Process
Neural Process
by Lauren Taylor
Neural
Network Input Layer
Neural
Network Diagram 3D Graph Process Flow
Proses Neural
Network
Neural
Network Architecture
Neural
CD
Neural
Tube Defects
Le Tube
Neural
Neural Process
Units Company Logos
神经过程
Neural Processes
Neural
Mechanisms
Neural
Network Logo
Transformer Neural Process
Diagram
Neural
Adaptation
Apple Neural Process
Units Company Logos
Neural
Sensing
Explore more searches like Neural Process
Network
Wallpaper
Network
Art
Network
Illustration
Network
Model
Neural Network
Types
Network
Icon
Network
ClipArt
Neural Network
Architecture
Network
Diagram
Network
Artwork
Network
Lines
Network
PNG
Network Wallpaper
4K
Reflex
Pathway
Network
Layers
Link
Pics
Wallpaper
4K
Immune
System
Network
Vector
Network
Meme
Brain
Animation
Cloud
Art
Net
Wallpaper
Network
Circuit
Network
Animation
Link
Logo
Tube
Formation
Network
Logo
Network
Medium
SVG
ClipArt
Signal
Wave
Network
Background
Net
Drawing
Network
Symbol
Cloud
PNG
Cloud
Map
Link
PNG
Stem Cell
3D
Network
Map
Cluster
PNG
Net
Background
Network
Graphic
Earth
Model
Net
Graphics
Feedback
Loop
Communication
Diagram
Network 3D
Model
Tissue
Net
Icon
Dust
People interested in Neural Process also searched for
Network
HD
Plate
Stem
Crest
Cells
Pathways
DSP
Logo
Network
Neuron
Rede
Autoplay all GIFs
Change autoplay and other image settings here
Autoplay all GIFs
Flip the switch to turn them on
Autoplay GIFs
Image size
All
Small
Medium
Large
Extra large
At least... *
Customized Width
x
Customized Height
px
Please enter a number for Width and Height
Color
All
Color only
Black & white
Type
All
Photograph
Clipart
Line drawing
Animated GIF
Transparent
Layout
All
Square
Wide
Tall
People
All
Just faces
Head & shoulders
Date
All
Past 24 hours
Past week
Past month
Past year
License
All
All Creative Commons
Public domain
Free to share and use
Free to share and use commercially
Free to modify, share, and use
Free to modify, share, and use commercially
Learn more
Clear filters
SafeSearch:
Moderate
Strict
Moderate (default)
Off
Filter
Ann Neural
Network
Neural
Network Cell
Neural
Engine
Neural
Processing Unit
Neural
Activity
Deep Neural
Network
Neuron in
Neural Network
Neural Process
Pathway
Embryonic Neural
Tube
Long Process
in Neural Cell
Neural
Structure
Neural
Point Process
Neural Process
Flowchart
Neural
Stem Cells
Neural Process
Network Diagram
Diffusion
Neural Process
Neural
Network Types
Neurulation
Process
Neural
Network Algorithm
Neural Process
Pathway Model
Brain Neural
Pathways
Neural
Plate Formation
Human Neural
System
Neural
Conduction
Biological Neural
Network
Neural
Foramen
Artificial Neural
Network Model
Learning Process in Neural
Network Diagram
Neurological
Process
Neural
Crest Cell Migration
Synaptic Transmission
Process
Neural
Arch
Neuron Synapse
Animation
Neuron Communication
Process
Neural Process
by Lauren Taylor
Neural
Network Input Layer
Neural
Network Diagram 3D Graph Process Flow
Proses Neural
Network
Neural
Network Architecture
Neural
CD
Neural
Tube Defects
Le Tube
Neural
Neural Process
Units Company Logos
神经过程
Neural Processes
Neural
Mechanisms
Neural
Network Logo
Transformer Neural Process
Diagram
Neural
Adaptation
Apple Neural Process
Units Company Logos
Neural
Sensing
780×532
github.com
GitHub - yamad07/NeuralProcess: This repository is pytorch based ...
600×787
neural.it
Sonic Process | Neural
631×861
byjus.com
Neural Communication: Introduction, Process, Steps
1920×1280
studymat.in
Process of Neural Conduction. - STUDYMAT
Related Products
Networks Book
Lace Headset
Link Device
1200×600
pngtree.com
Neural Process Background Images, HD Pictures and Wallpaper For Free ...
850×310
researchgate.net
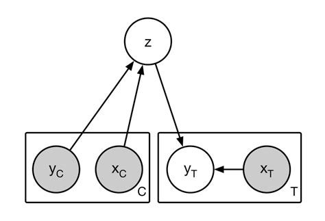
Neural process model. | Download Scientific Diagram
2400×1260
futurism.com
This Advanced Neural Network Can Explain Its Thought Process (Finally)
320×320
researchgate.net
Neural Network Process | Download Scientific Dia…
850×259
researchgate.net
Flowchart of Neural Process. | Download Scientific Diagram
320×320
researchgate.net
Flowchart of Neural Process. | Download Sci…
3011×1732
ayushshrivstava.github.io
Neural Processes – Homepage
Explore more searches like
Neural
Process
Network Wallpaper
Network Art
Network Illustration
Network Model
Neural Network Types
Network Icon
Network ClipArt
Neural Network Architecture
Network Diagram
Network Artwork
Network Lines
Network PNG
320×320
researchgate.net
Learning Process in Neural Network | Down…
304×472
researchgate.net
Diagram of the proposed grap…
1200×600
github.com
GitHub - google-deepmind/neural-processes: This repository contains ...
3135×3300
github.io
The Neural Process Family — Neural Process Family
850×817
ResearchGate
The artificial neural network process flow ch…
626×313
freepik.com
30,000+ Neural Processes Pictures
689×1053
researchgate.net
Main process of neural network…
626×626
freepik.com
30,000+ Neural Processes Pictures
850×395
researchgate.net
A process of neuron in the neural network | Download Scientific Diagram
447×447
researchgate.net
A process of neuron in the neural networ…
1000×546
stock.adobe.com
Understanding the Brains Neural Pathways and Cognitive Processes ...
525×640
ResearchGate
Diagram of the learning proces…
1000×667
stock.adobe.com
Neural processes, brain synapses neurotransmitters. Excitatory ...
1000×667
stock.adobe.com
Neural processes, brain synapses neurotransmitters. Excitatory ...
850×946
researchgate.net
A second example of a neural process functio…
1000×667
stock.adobe.com
Neural processes, brain synapses neurotransmitters. Excitatory ...
1000×667
stock.adobe.com
Neural processes, brain synapses neurotransmitters. Excitatory ...
1000×667
stock.adobe.com
Neural processes, brain synapses neurotransmitters. Excitatory ...
People interested in
Neural
Process
also searched for
Network HD
Plate
Stem
Crest Cells
Pathways
DSP Logo
Network Neuron
Rede
1000×667
stock.adobe.com
Neural processes, brain synapses neurotransmitters. Excitatory ...
1682×799
svitla.com
Up-to-Date Neural Network Training Methods by Svitla Team
1000×667
stock.adobe.com
Neural processes, brain synapses neurotransmitters. Excitatory ...
850×561
researchgate.net
Neural process development is affected by known pathways, in…
626×313
freepik.com
Premium Photo | Neural processes in the brain
626×313
freepik.com
Premium Photo | Neural processes in the brain
Some results have been hidden because they may be inaccessible to you.
Show inaccessible results
Report an inappropriate content
Please select one of the options below.
Not Relevant
Offensive
Adult
Child Sexual Abuse
Feedback