All
Search
Images
Videos
Shorts
Maps
News
More
Shopping
Flights
Travel
Notebook
Report an inappropriate content
Please select one of the options below.
Not Relevant
Offensive
Adult
Child Sexual Abuse
Length
All
Short (less than 5 minutes)
Medium (5-20 minutes)
Long (more than 20 minutes)
Date
All
Past 24 hours
Past week
Past month
Past year
Resolution
All
Lower than 360p
360p or higher
480p or higher
720p or higher
1080p or higher
Source
All
Dailymotion
Vimeo
Metacafe
Hulu
VEVO
Myspace
MTV
CBS
Fox
CNN
MSN
Price
All
Free
Paid
Clear filters
SafeSearch:
Moderate
Strict
Moderate (default)
Off
Filter
14:43
YouTube
Steve Crow
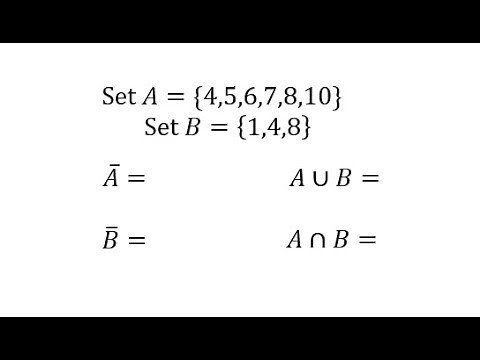
Sets: Union, Intersection, Complement
This video shows how to find the union, intersection, and complement of a set.
1.3M views
Mar 29, 2018
Union Examples
4:49
Ahkmal UEC adalah unified Examanation Certificate bukanya union education Chinese, (Sijil Peperiksaan Sepadu oleh lembaga pemeriksaan Sekolah Cina Malaysia (Dong Zong ). @US Subramaniam @malartv @DS.M.Saravanan @Gopiraj Nair @ Killadi @Puchong Murali @K.P.Samy @Paul Prasad @thiyagaraj @ANWAR IBRAHIM fans
TikTok
ussubrasubramania
307.4K views
1 week ago
0:50
Unions in Portugal launched the country's first general strike in more than a decade. Thousands rallied against the government’s proposed labor reforms.
TikTok
dwnews
21.6K views
1 week ago
0:09
Plantillas para Amigas: Recordando Momentos Juntas
TikTok
stephanysilveiraa
2M views
3 weeks ago
Top videos
15:16
Basics of Probability: Unions, Intersections, and Complements
YouTube
jbstatistics
306.4K views
Feb 1, 2018
12:51
OPERATIONS ON SETS - Union, Intersection, Difference, and Complement of a Set | Ms Rosette
YouTube
Ms Rosette
503.2K views
Sep 17, 2022
5:18
5. FA: Union,Intersection,Complement
YouTube
92's Hope & Luck
56.2K views
Mar 25, 2020
Union Properties
1:37
La Lealtad y el Servicio: Claves para la Paz Mundial
TikTok
dualidadoculta
11.7K views
1 week ago
1:00
கர்மா உங்கள சும்மா விடாது - மேஜர் மதன் குமார் ஆவேசம் Major Madhan Kumar | Pakistan | Dubai
YouTube
Ilaya Bharatham-இளைய
1.3M views
4 weeks ago
0:59
They are proof that you don’t need perfection for something to be beautiful. You just need two hearts willing to stay. May God bless your union @The Dawsons #fyp #tiktokviral #marriage
TikTok
nurr_ssa
122.5K views
2 weeks ago
15:16
Find in video from 00:02
Introduction to Intersections, Unions, and Complements
Basics of Probability: Unions, Intersections, and Complements
306.4K views
Feb 1, 2018
YouTube
jbstatistics
12:51
OPERATIONS ON SETS - Union, Intersection, Difference, and Com
…
503.2K views
Sep 17, 2022
YouTube
Ms Rosette
5:18
Find in video from 0:00
Introduction to Union, Intersection, and Complement
5. FA: Union,Intersection,Complement
56.2K views
Mar 25, 2020
YouTube
92's Hope & Luck
5:49
Find in video from 02:06
Understanding Complements
Sets: Union, Intersection, Complement
744.6K views
Oct 4, 2012
YouTube
lbowen11235
2:48
Find in video from 00:15
Listing Complements
Find Complement, Union, and Intersection of 2 Sets as Lists
66K views
Jan 29, 2019
YouTube
Mathispower4u
4:58
Find in video from 00:54
Intersection and Union
Probability & Statistics (5 of 62) Definition of Intersection, Union, C
…
131.7K views
Jan 14, 2015
YouTube
Michel van Biezen
0:14
SET OPERATIONS: Union, intersection, difference, complem
…
263.7K views
Nov 25, 2024
YouTube
Antonija Horvatek - Matematički video na dlanu
10:43
Find in video from 03:01
Combining Unions
Shade Venn Diagram Two Sets Union Intersection Complements
…
190.8K views
Feb 1, 2019
YouTube
Anil Kumar
11:23
12. Operations of Sets (Union, Intersection, Difference, Complem
…
123.7K views
May 2, 2020
YouTube
MKS TUTORIALS by Manoj Sir
16:15
Find in video from 04:56
Complement of a Set
VENN DIAGRAM & Operations on Sets | Union, Intersection, Comple
…
152.7K views
Aug 14, 2022
YouTube
Ms Rosette
18:32
Find in video from 00:16
Example 1: Complement of A
Examples using Set Theory (complements, unions, intersectio
…
3K views
Oct 21, 2021
YouTube
Stats4Everyone
13:52
Find in video from 02:33
Union Operations
Set Theory: Union, Intersection, Set Minus, Absolute Complement, Ven
…
28.8K views
Dec 31, 2018
YouTube
The Math Sorcerer
6:49
Find in video from 03:22
Finding Unions and Complements
Venn Diagrams and Set Operations (Union, Intersection, Complement
…
8.4K views
May 6, 2020
YouTube
Math Problems Solved Craig Faulhaber
3:37
Find in video from 00:39
Proving Complement of a Union B
Prove De Morgan's Law in Set Theory Complement of Union is In
…
714.6K views
Oct 27, 2017
YouTube
Anil Kumar
7:54
Find in video from 01:00
Common Intersections and Shaded Regions
Venn Diagrams: Shading Regions for Two Sets
1.4M views
Aug 29, 2010
YouTube
Patrick JMT
8:46
Union Intersection Ring sum and Complement of graph | Operation
…
27.4K views
Sep 2, 2021
YouTube
THE GATEHUB
Find in video from 03:13
Complement of an Event
The VENN Diagram, Complement, UNION, and Intersection of Probab
…
1.5K views
Dec 3, 2022
YouTube
Research By Design
3:54
Find in video from 00:06
Intersection B Complement
Shading Venn Diagrams with Two and Three Sets: Complements, Int
…
2.3K views
Jun 13, 2022
YouTube
Mathispower4u
8:18
2. Operations on Relations (Union, Intersection, Complement & Inver
…
98.4K views
May 5, 2020
YouTube
MKS TUTORIALS by Manoj Sir
11:49
Find in video from 00:01
Introduction to Intersection of Sets
Intersection of Sets, Union of Sets and Venn Diagrams
2.8M views
Feb 7, 2018
YouTube
The Organic Chemistry Tutor
5:44
Find in video from 02:06
Intersection of Venn Diagram
Set Theory : De Morgan's law: Part 1: Venn Diagram
320.2K views
Aug 11, 2014
YouTube
MathsSmart
5:57
Find in video from 00:14
Definition of Intersection
Set Operations (Intersection & Union with Venn Diagram)
85.5K views
Mar 3, 2021
YouTube
Neso Academy
6:22
Find in video from 02:04
Intersection and Union
Set Theory: Types of Sets, Unions and Intersections
76K views
Dec 13, 2017
YouTube
Professor Dave Explains
6:08
Find in video from 02:44
Complement of Two F Sets
7. Fuzzy Sets Solved Example Union Intersection Complement Differen
…
69.1K views
Apr 6, 2024
YouTube
Mahesh Huddar
14:27
Find in video from 03:34
Complement of Sets
Intersection, Union and Complements of Sets
20.8K views
Aug 27, 2018
YouTube
Dr Frost Maths
5:43
Find in video from 0:00
Introduction to Intersection
Intersection and Union of Sets
12.2K views
Aug 15, 2020
YouTube
MathsByAli
21:12
Complement of a Set |Algebra 1 | Math Video Central
74.5K views
Oct 23, 2021
YouTube
Math Video Central
6:04
Find in video from 03:49
Complement Operation
Set Theory: Set Operations Explained
2.3K views
Oct 24, 2023
YouTube
Minity Maths
16:15
OPERATIONS ON SETS | Union, Intersection, Difference of Two Set
…
1K views
Oct 14, 2020
YouTube
MATH VIDEO LESSONS with Ma'am Annie
See more videos
More like this
Feedback