All
Search
Images
Videos
Maps
News
More
Shopping
Flights
Travel
Notebook
Report an inappropriate content
Please select one of the options below.
Not Relevant
Offensive
Adult
Child Sexual Abuse
Top suggestions for Root3 Root3 Root 3 Uto Infinite
2
Root 3
3
Squared
Root 3
CNC
1
Root 3
3 Root
16
Root
Stylo 3
Root 3
Value
3 Root
12 Log
Root
5 Rectangle
2 Root
6 Square
Root 8 Root
2
Root
54
Square Root
2
Root
7
Length
All
Short (less than 5 minutes)
Medium (5-20 minutes)
Long (more than 20 minutes)
Date
All
Past 24 hours
Past week
Past month
Past year
Resolution
All
Lower than 360p
360p or higher
480p or higher
720p or higher
1080p or higher
Source
All
Dailymotion
Vimeo
Metacafe
Hulu
VEVO
Myspace
MTV
CBS
Fox
CNN
MSN
Price
All
Free
Paid
Clear filters
SafeSearch:
Moderate
Strict
Moderate (default)
Off
Filter
2
Root 3
3
Squared
Root 3
CNC
1
Root 3
3 Root
16
Root
Stylo 3
Root 3
Value
3 Root
12 Log
Root
5 Rectangle
2 Root
6 Square
Root 8 Root
2
Root
54
Square Root
2
Root
7
0:58
Would You Risk Your Life to Save Your Dog?
1.9K views
1 month ago
YouTube
Fido's Bark
0:31
New design with different colours #shahzcollection #newdesign #sh
…
3.3K views
2 months ago
YouTube
Shahz collection
( 5 - root 6 ) / (3 2 root3... | Filo
3 months ago
askfilo.com
3:41
Finding Cube and Cube Roots | Learn with BYJU'S
88.5K views
Aug 17, 2019
byjus.com
Prove root3 is an irrational. And 3+root5 is irrational .... | Filo
5.5K views
May 22, 2024
askfilo.com
6:00
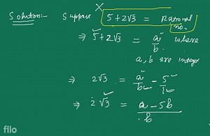
Given that root 3 is irrational, prove that 5 2root3 is irratio... | Filo
6K views
Dec 17, 2022
askfilo.com
prove that 10+root3 is irrational... | Filo
5.2K views
Apr 2, 2023
askfilo.com
Example 5 - Prove that root 3 is irrational - Chapter 1 - Examples
Dec 13, 2024
teachoo.com
0:31
18K views · 19K reactions | Turn fresh ginger root into a sweet,...
350.1K views
1 week ago
Facebook
Mymanabites
1:39
Calculating roots using your Texas Instruments TI-30IIS
150K views
Mar 18, 2016
YouTube
mathmadeeasy
24:41
REPRESENT SQUARE ROOT 2, 3, 5, 7, 3.5, 9.3 ON NUMBER LINE || WIT
…
283.3K views
Jun 3, 2020
YouTube
Ease It Classes
2:00
Root samsung galaxy tab 3
29.2K views
Sep 4, 2014
YouTube
Eric Gonzalez
4:34
Q60 | Simplify (7√3)/(√10+√3)-(2√5)/(√6+√5)-(3√2)/(√15+3√2) | 7√3
…
42.8K views
May 2, 2021
YouTube
GRAVITY COACHING INSTITUTE
1:29
Fisch Script Hack GUI - Instant Catch, Auto Farm, Auto Sell, Infinit
…
5.4K views
10 months ago
YouTube
Send His Word Ministries
High Martial Arts: I Start with Infinite Talent Extraction!
6.9K views
7 months ago
YouTube
Infinite Flow Apocalypse
3:54
Paradise Rootz - Katuba Ni Uto (Official Audio)
430.8K views
Jul 13, 2023
YouTube
Paradise Rootz
1:54
inverse tangent of square root 3 over 3
136.9K views
Jan 4, 2013
YouTube
MSolved Tutoring
1:53
3.8K views · 22 reactions | América campeón del voleibol en la...
2K views
4 weeks ago
Facebook
La Patria Bolivia
0:40
37 shares · 3 comments | მეტალის დეკორატიული სარტყელი. ☎
…
571.4M views
1 week ago
Facebook
Aguris Pilebi Kedlis Dekorebi
9:54
18K views · 558 reactions | สัมภาษณ์คะน้ารอบสื่อในงาน U
…
5.5K views
1 week ago
Facebook
ลงแต่รูปน่ารักๆ ขอพี่มาร์คโปรดจงเห็นใจ V.2
WARNING: Money Flow Starts IMMEDIATELY! 888Hz Infinite Abu
…
1 week ago
YouTube
Abundance Relaxation
10:40
So installierst du openSUSE richtig! (Partition Guide 2025) | Linux Infinite
3 weeks ago
YouTube
Linux Infinite
2:31
When Blood Work Proves Doctors Wrong. 🩸
2 months ago
YouTube
InfiniteAge
気づいたらクジラ描きがち。#絵 #オリジナル #クジラ #水彩画 #tiktok教
…
242.6K views
Mar 5, 2020
TikTok
root3_1100
7 Find a quadratic equation whose roots are three times the roo... | Filo
5.1K views
Aug 13, 2024
askfilo.com
root 2 plus root 2 plus root 2 up to infinity
33.6K views
Feb 11, 2022
YouTube
Study Point Pro
Show that the points (a,a), (-a,-a) and (-root 3 a, root3 a) are the vertices
…
9.6K views
Feb 6, 2023
YouTube
2Pi classes
| Prove that root 3 + root 7 is irrational | Prove that √3 + √7 is irr
…
38K views
Jun 5, 2021
YouTube
PATEL COACHING
11:57
Chicory "Coffee"
19.2K views
Aug 26, 2019
YouTube
Live Simple, Live Free
1:15
TI BA II Plus Cube Root
118.4K views
Sep 5, 2015
YouTube
Calculator Expert
See more videos
More like this
Feedback